欢迎光临,岐昱专业生产:玻璃反应釜,固相多肽合成釜,分子蒸馏,旋转蒸发仪,高低温循环一体机
中文
021-59105991/13524942805

首页 > 新闻中心 > 公司新闻 > 反应结晶做大粒径,关键在于......

反应结晶做大粒径,关键在于......

  今天给大家分享一篇反应结晶如何做大粒径的文章——来自中国台湾国立中央大学Hung Lin Lee等人撰写的Size Enlargement by Semibatch Reactive Crystallization with Varying Reactant Addition Methods and Reaction Kinetics: The Study of Dicumarol》,讲述 双香豆素 的反应结晶过程。

https://doi.org/10.1016/j.cherd.2024.07.027


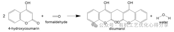
    双香豆素是一个治疗 血栓、感染、肿瘤 等疾病的药物,利用 4-羟基香豆素(4-HC) 与 甲醛 在水中缩合反应得到,如下图所示:

图片

    原工艺制备得到的产品粒径较小(1~5μm),导致过滤、干燥困难。为提高产品的粒径,改善生产操作流畅性,作者对该工艺进行了优化。


研究过程:

    作者认为现工艺得到的产品粒径小,是因为反应速率 和 结晶速率 均较大。产品在反应溶剂中溶解度太小,导致过饱和度太大时,析出小颗粒。作者考虑,反应溶剂需要对产品有一定能溶解度,在反应时候不析出,而通过后期降温析晶(即改“反应结晶” 为 “反应-冷却结晶”)。


  1. 溶解度测量

    测量 4-HC(原料) 和 双香豆素(产品)在不同溶剂中的溶解度,如下图所示:

图片

图片

    从上图可以看出:① 原料的良溶剂有:EA、MTBE、丁酮、THF、DMA、丙酮、二氧六环、DMAc、丁醇、异丙醇、苯甲醇、乙腈、DMF、乙醇、DMSO 和 甲醇;

   ② 产品的良溶剂只有:氯仿 和 DMAc。

   

     作者考虑,原料首先需要在“良溶剂”中溶解,确保反应可以进行。其次,反应溶剂对产物需要有一定溶解度,以达到“反应不析出、降温析出”的目的。


    综上所述,加上产品溶解度在DMAc中随温度变化明显,作者选择 DMAc 作为反应、结晶溶剂。

图片


2. 初期实验操作

    将 2.2g 原料 溶解在 200mL 的DMAc中,搅拌溶解后,升温至60℃后,加入 1N的 37%甲醛溶液。反应结束(没有固体析出),降温至20℃析出固体,搅拌1h后过滤、漂洗、烘干。


    改进后,产品的粒径从 5μm 提高到 100μm,如下图所示:

图片


   但改进后的工艺有一个致命的缺点——收率低(只有7.8%,理论有54%),而且析晶时间需要8h以上(未反应完的原料作为杂质存在,导致析晶速度慢 且  不完全)!

   作者尝试滴加10倍的反溶剂加快晶体析出,但收率没有得到太大提升,且粒径却变得十分小,故舍去该方法。


3. 改进后的操作

    考虑到产品在母液中浓度一致的情况下,可以增加投料量(提高产品浓度),进而提高一次收率。

    作者将 4-HC 的投料量分别增加到3倍、4.5倍 和 6倍,即6.6g/9.9g/13.2g 的原料投入到 200mL 的DMAc 中,搅拌溶解后,升温至60℃后,加入 1N的 37%甲醛溶液(滴加后期会有产品析出)。反应结束,降温至20℃,析晶1h后过滤、漂洗、干燥。


    作者采取了下列4种甲醛滴加方式,如下图所示:

图片


图片

    

     改进后,产品的收率大幅度提高,基本与原工艺相当;析晶时间也大大缩短(12h 到 4.5h)。


4. 改进后的结果

① 粉体质量方面

   如下图所示,实例4中得到的晶体流动性最好(休止角、卡尔系数均最小);

图片


    同时发现,改进后五个实验得出来的成品粒径均远高于原工艺的5μm;其中实例4中的产品 粒径也最大。

图片

图片


② 红外、晶型方面

    从结果来看,改进后的产品,红外、晶型与市售产品一致;

图片


图片


③ 实例4粒径最大的原因分析

    作者监控了滴加过程中,原料、产品在体系中的浓度,如下图所示:

图片

    在首次加入甲醛操作后,产品在体系中进入结晶“亚稳区”,此时体系过饱和但未析出晶体;

    随着第二次甲醛的加入,产品进入“不稳定区”,析出晶体。产品在溶液中的浓度回落至“饱和”水平;

    养晶45min后(从75min 到 120min),按照 0.3mL/10min 的速度滴加甲醛,使晶体逐渐生长。

    

    作者认为,该实例中的粒径最大、粉体流动性最好,主要是 反应速率 和 结晶速率 匹配得最好

A key synergistic relationship between reaction kinetics and crystallization driving force was noticed in our reactive crystallization system.

   而小弟觉得,在首次析出固体后(体系变浑浊),需要停止滴加,通过养晶以让析出的固体消耗体系中残存的过饱和度(避免后续滴加过程过饱和度太大,析出大量晶核)。后续通过控制滴加速度,使 反应速率 和 晶体生长速率匹配



    【小弟总结】很多 API (如抗生素的钠盐)最后一步需要用到反应结晶来纯化,而改善晶体粒径、流动性的关键在于如何配对好 反应速率 和 结晶速率 之间的关系(当然也需要考虑 晶核数量、搅拌速度 的影响)。在《重磅!如何提高头孢呋辛钠的稳定性 及 粉体质量!》一文中,天大的老师们就是通过对 溶剂、反应温度 的筛选,以控制过饱和度,达到制备出粗颗粒、晶型稳定的产品。


     本文提到的,筛选出合适的溶剂(对成品溶解度高的),避免产品在反应过程中过快的析出,是提高粒径的关键。


     希望本文对大家有所帮助。


版权声明:本网站的部分资料转载自互联网,均尽力标明作者和出处。本网站转载的目的在于传递更多信息,并不意味着赞同其观点或证实其描述,本网站不对其真实性负责。如发现本站有涉嫌抄袭侵权/违法违规的内容, 请联系在线客服进行举报,一经查实,本站将立刻删除。